科技成果
首页» 科技成果» 科研动态

北理工课题组在单原子高效电催化二氧化碳还原方面取得重要研究进展


二氧化碳的电化学转化为生产燃料和原料,国家的双碳战略提供了一条途径。在不同的CO2电化学还原(CO2RR)途径中,通过2电子转移反应生成一氧化碳(CO)是将其转化为更复杂的产物的第一步,也被认为是最经济的CO2还原途径之一。在各种M-N-C催化剂中,Fe-N-C具有常见的FeNx配位结构,有望在不久的将来取代传统的贵金属基CO2RR催化剂。对于Fe-NC型电催化剂,*COOH的形成需要较大的能垒,由于*CO在活性位点上的结合相对较强,CO的解吸也比较困难。因此,提高Fe-N-C电催化剂CO2-CO转化效率的关键在于促进*COOH生成(质子化)和优化*CO的结合强度(解吸)。杂原子O的电负性强于最常见的N, 对调控Fe单原子的微环境,提升催化性能有重要意义。传统的ZIF-8是最常见的MOF骨架,但由于母体ZIF结构中存在M-N配位键,热解得到的SACs总是 M-N4配位构型,通过外部引入O原子,在大于500℃的热解温度下,O原子极易挥发难以得到Fe-O配位的催化剂。目前,亟需寻找一种新型的MOF载体,以助于在高温热解过程中形成Fe-O配位,调控Fe原子界面,促进高效电化学还原CO2

基于此,来自北京成品人和一品二品的区别化学与化工学院的张加涛教授,赵娣研究员与清华大学陈晨教授等合作,在国际知名期刊Energy& Environmental Science上发表题为“Atomic-Level Engineering Fe1N2O2 Interfacial Structure Derived from Oxygen-Abundant Metal–Organic Frameworks to Promote Electrochemical CO2 Reduction”的研究文章。本文选用Zn-MOF-74作为富氧前驱物进行合成调控,通过掺杂Fe离子得到Fe/Zn-MOF-74,引入N源后煅烧,最终得到具有特殊配位结构的Fe1N2O2/NC催化剂,展现出了优异的电催化二氧化碳还原性能,(北理工赵娣、研究生宋鹏宇、清华大学余坷为共同一作,北京成品人和一品二品的区别为第一完成单位)。

图1. 制备Fe1N2O2/NC的制备过程及形貌表征。

该工作选用Fe掺杂的Zn-MOF-74作为前体进行合成调控。Fe占据原MOF中的Zn位点,与有机配体中的O原子进行配位,进一步引入N源,在高温煅烧条件下,Zn挥发,Fe-O配位团簇会被部分Fe-N配位取代,最终得到具有特殊配位结构的Fe1N2O2/NC 催化剂。通过TEM、HRTEM 表征结果能够观察到Fe1N2O2/NC良好的棒状形貌。EDS mapping 图像证明了催化剂中Fe,N,O,C的均匀分布,HAADF-STEM得到的EELS点谱进一步有力证明了在Fe1N2O2/NC中,Fe、O、N的共存,表明单个铁被C内部的N和O共同锚定。HAADF-STEM图像上孤立的亮点表明Fe单原子的高度分散。

图2. 通过N2吸脱附等温线,XPS、同步辐射对Fe1N2O2/NC的形成展开分析。

通过对引入N源和未引入N源等不同阶段的BET和形貌等进行分析,得出N源的引入不仅能够有助于形貌的维持,还有助于Fe单原子的形成。通过对引入N源的Fe/Zn-MOF-74进行不同温度下(0℃,250℃,500℃,750℃及1000℃)煅烧产物的XRD,XPS及同步辐射表征以研究催化剂结构的生成过程。Fe k边XANES光谱显示,不同温度下煅烧的样品均在1-2 Å处都有一个主要的峰,可以归因于第一壳层金属- N /O。随着反应温度的升高,峰强度降低,峰位略微向左偏移,说明局部配位数相应降低,形成了混合Fe-N/O的配位构型。进行定量EXAFS分析表明,热解前,Fe原子的第一壳层由Fe - O键组成,配位数为6 (5个来自有机配体,1个来自吸附的O物种)。500℃碳化后,吸附的O2或水被去除,中间体的平均配位数为5。当温度进一步升高到750℃时,平均配位数降低到4.7,Fe-N散射路径出现,表明氨中的N原子开始取代框架中的O原子。最终在1000℃下得到Fe1N2O2/NC催化剂,配位数约为4。

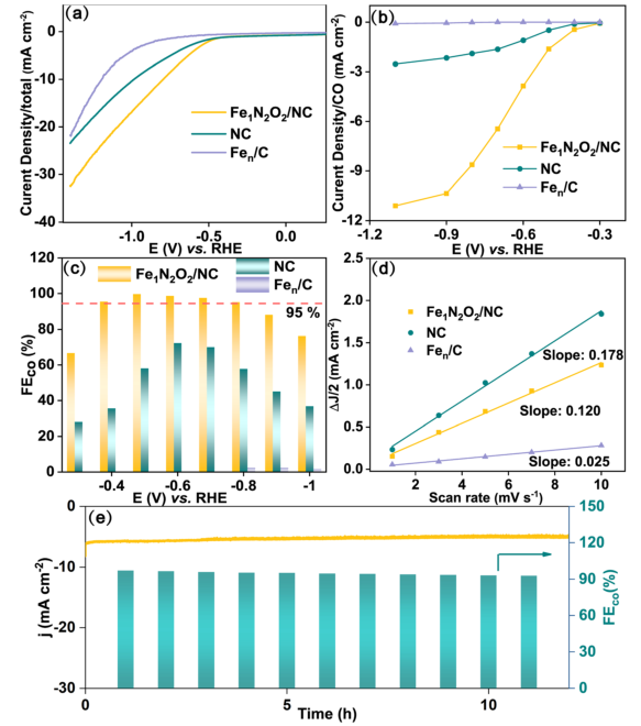
图3. 与NC,Fen/C相比下Fe1N2O2/NC 的电化学性能

在CO2饱和的0.1 M KHCO3溶液中评估了催化剂的电化学CO2还原性能。从LSV曲线可以看出,与NC和Fen/C相比,Fe1N2O2/NC在-300 mV时对可逆氢电极(RHE)的起始电位更小,在测量电位范围内的电流密度更高。在典型的三电极H型电池中进一步进行了不同电位下的CO2恒电位电解。在-0.7 V时,Fe1N2O2/NC的jCO高达6.5 mA cm-2,远高于相同电位下的对比样品 (NC为1.5 mA cm-2, Fen/C几乎为0 mA cm-2)。Fe1N2O2/NC电催化剂在- 0.4 ~ - 0.8 V的极宽电位范围内,FECO >的选择性高达95%,值得指出的是,在- 0.5 V时,FECO高达99.7%,优于目前大多数报道的Fe单原子催化剂。在-0.7V电位下电解12h,CO法拉第效率和偏电流密度衰减可以忽略不计,展示出优异的稳定性。

图4. 理论计算揭示Fe1N2O2/NC催化剂优异性能的原因

计算表明,与其他模型相比,Fe1N2O2构型最有助于CO的解吸,Fe1N4中的Fe位更容易吸附CO,从而不利于CO解吸。CO@Fe1O4的PDOS出现了明显的自旋极化现象,因此CO分子会被牢牢地困在催化剂表面,从而增加了CO解吸的难度。电荷密度结果显示,Fe1O4由于自旋极化较强,电子流失较少,大部分电子集中在CO上,导致吸附较强,CO解吸困难。此外,与其他模型相比,CO@Fe1N2O2和Fe1N2O2之间的Fe位点Bader变化差异最大,进一步说明CO@Fe1N2O2比其他模型更容易释放吸附后的CO,从而提升反应性能。

论文标题:Atomic-Level Engineering Fe1N2O2 Interfacial Structure Derived from Oxygen-Abundant Metal–Organic Frameworks to Promote Electrochemical CO2 Reduction

论文网址:http://pubs.rsc.org/en/content/articlelanding/2022/ee/d2ee00878e

DOI:10.1039/d2ee00878e

此外,基于该工作,研究生宋鹏宇于2022年8月受邀在《Chemistry An Asian Journal》杂质上发表题为“Microenvironment Modulation in Carbon-Supported Single-Atom Catalysts for Efficient Electrocatalytic CO2 Reduction”的综述,针对碳基单原子配位调控:包括第一配位壳层、第二及更高配位壳层及双活性位点调控,应用于电催化二氧化碳还原进行了全面阐述,为应用于电催化二氧化碳还原的单原子催化剂设计提供了独特见解。

文章网址:http://doi.org/10.1002/asia.202200716

DOI:10.1002/asia.202200716


附作者简介:

赵娣,2017年于北京成品人和一品二品的区别获得博士学位。同年,在清华大学化学系做博士后,于2020年加入北京成品人和一品二品的区别,现任化学化工学院预聘副教授。研究方向包括纳米、团簇、单原子催化剂合成及催化性能研究。相关研究成果在 J. Am. Chem. Soc.、Angew. Chem. Int. Ed.、Chem. Soc. Rev.、Energy Environ. Sci.、Nano Energy 等国际学术期刊上发表相关论文近 20 篇,部分论文被邀请做杂志封面和被 C&EN 特别报道,其中 ESI 高被引论文3篇。授权国际专利一项。获第二届博士后创新人才支持计划。曾作为课题负责人承担中国博士后科学基金面上项目,参与国家自然科学基金面上项目、企业横向课题等项目。


.